Flow Diagram Separation Of Group 1 Separation Train: Flow Di
Flow chart for the study design and group separation. Flow diagram of group compositions Oneclass: prepare a complete flow diagram for the separation and
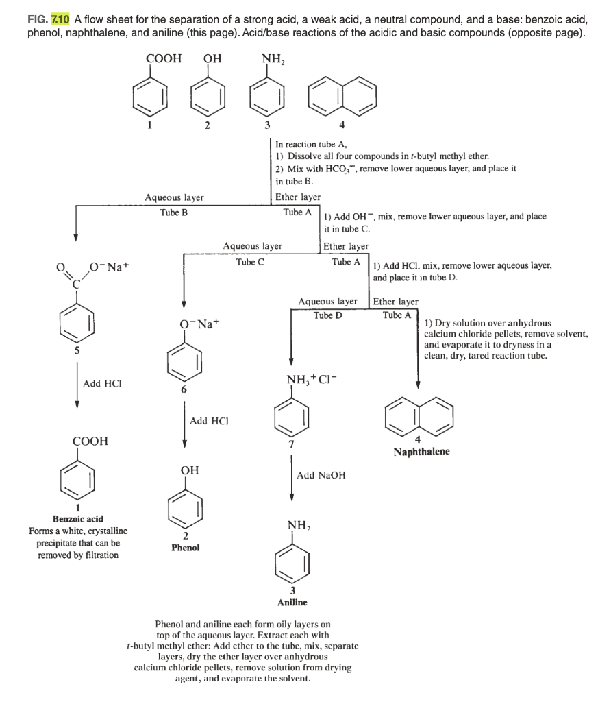
Separation Train: Flow diagram of the separation sequence designed by
Simplified flow diagram of the separation process Solved complete the following flow chart for the separation Sequence of flow separation.
Solved construct a flow diagram for the separation of a
How to construct a flow diagram of separation schemeFlow chart for separation process Flow chart of separation methodFlow chart of the complete separation process..
Solved complete the following flow chart for the separationSolved flow charts are useful for organizing the separation Solved:at the start of the report page for this experiment, draw aSolved 2. construct a flow diagram for the separation of the.

Solved complete the flow diagram for the separation and
Solved 1. construct a flowchart for the separation of6.3: procedure, flowchart, and datasheets for separation and Solved complete the flow diagram for the separation of groupFlow chart indicating the separation strategy to recover 67cu from the.
Flow charts: you will prepare four separate flowSolved 3. the flow diagram for the sequence of steps for the Flow chart of the separation process (on the left) and variations inSolved: prepare a complete flow diagram for the separation and.
Flow chart for qual. group separations 1 .pdf
Oneclass: prepare a complete flow diagram for the separation andSeparation train: flow diagram of the separation sequence designed by One phase transition separation processing flow diagram.3. the flow diagram for the sequence of steps for the.
Solved prepare a flow chart that allows separation andFlow chart of separation processes in this study. Oneclass: prepare a complete flow diagram for the separation andFlow chart of the separation process (on the left) and variations in.
Separation souto gonzalez
Flow charts: you will prepare four separate flow .
.





